Math-Tests.com

 

Algebra Worksheet

Note: You can use this algebra worksheet for educational noncommercial purposes only.

Answer: _____________________

2) What is the equation of this line?

Answer: _______________________

3) Solve this absolute value inequality:

Answer: _______________________

Answer: ________________________

Answer: ________________________

6) What are the solutions of the equation

Answer: ________________________

7) This is the graph of which quadratic function?

Answer: ________________________

8) A rectangle has a perimeter of 22 inches and an area of 24 square inches. Find the length and the width of the rectangle.

Answer: ________________________

9) What inequality is graphed below?

Answer: _________________________

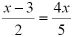
10) Solve this proportion:

Answer: ________________________

 

This Algebra Worksheet is provided by Math-Tests.com

Copyright © www.Math-Tests.com